Mobility Case Study Quizlet . In developing a plan of care, the nurse consults with mr. (patient weighs 140 lbs on admission). improving mobility is a nursing priority to prevent the many potential complications. monitor i & o, oob, bladder scan, i & o catheterize (if ordered), excellent pericare, send urine for c & s (culture and. Enoxaparin is an anticoagulant that is administered to. mobility clinical judgment case study with concept map case study. In developing a plan of care, the nurse. — romote venous blood flow, preventing vte. comfort & mobility simulation case study spring 2022 adn level 1 learn with flashcards, games, and more — for free.
from www.calameo.com
In developing a plan of care, the nurse consults with mr. mobility clinical judgment case study with concept map case study. comfort & mobility simulation case study spring 2022 adn level 1 learn with flashcards, games, and more — for free. — romote venous blood flow, preventing vte. In developing a plan of care, the nurse. Enoxaparin is an anticoagulant that is administered to. (patient weighs 140 lbs on admission). monitor i & o, oob, bladder scan, i & o catheterize (if ordered), excellent pericare, send urine for c & s (culture and. improving mobility is a nursing priority to prevent the many potential complications.
Calaméo Daimler Betting On The Future Of Mobility Case Study Solution
Mobility Case Study Quizlet — romote venous blood flow, preventing vte. (patient weighs 140 lbs on admission). — romote venous blood flow, preventing vte. comfort & mobility simulation case study spring 2022 adn level 1 learn with flashcards, games, and more — for free. improving mobility is a nursing priority to prevent the many potential complications. monitor i & o, oob, bladder scan, i & o catheterize (if ordered), excellent pericare, send urine for c & s (culture and. In developing a plan of care, the nurse consults with mr. mobility clinical judgment case study with concept map case study. Enoxaparin is an anticoagulant that is administered to. In developing a plan of care, the nurse.
From www.studocu.com
Module 2 Safety and Mobility Test Studocu Mobility Case Study Quizlet In developing a plan of care, the nurse consults with mr. — romote venous blood flow, preventing vte. improving mobility is a nursing priority to prevent the many potential complications. comfort & mobility simulation case study spring 2022 adn level 1 learn with flashcards, games, and more — for free. mobility clinical judgment case study with. Mobility Case Study Quizlet.
From www.studocu.com
Mobility Case Study 304 Mobility Case Study Gallegos Gary Mobility Case Study Quizlet improving mobility is a nursing priority to prevent the many potential complications. mobility clinical judgment case study with concept map case study. comfort & mobility simulation case study spring 2022 adn level 1 learn with flashcards, games, and more — for free. — romote venous blood flow, preventing vte. Enoxaparin is an anticoagulant that is administered. Mobility Case Study Quizlet.
From studylib.net
Work and Study from Anywhere Secure Mobility Education Case Study Mobility Case Study Quizlet monitor i & o, oob, bladder scan, i & o catheterize (if ordered), excellent pericare, send urine for c & s (culture and. — romote venous blood flow, preventing vte. (patient weighs 140 lbs on admission). In developing a plan of care, the nurse consults with mr. In developing a plan of care, the nurse. comfort &. Mobility Case Study Quizlet.
From dokumen.tips
(PDF) TRANSPORTATION AND MOBILITY CASE STUDY ASHOK...Ashok Leyland Mobility Case Study Quizlet (patient weighs 140 lbs on admission). mobility clinical judgment case study with concept map case study. monitor i & o, oob, bladder scan, i & o catheterize (if ordered), excellent pericare, send urine for c & s (culture and. comfort & mobility simulation case study spring 2022 adn level 1 learn with flashcards, games, and more —. Mobility Case Study Quizlet.
From www.studypool.com
SOLUTION Nurs 3300 learning assessment 3 mobility case study Studypool Mobility Case Study Quizlet (patient weighs 140 lbs on admission). monitor i & o, oob, bladder scan, i & o catheterize (if ordered), excellent pericare, send urine for c & s (culture and. In developing a plan of care, the nurse consults with mr. comfort & mobility simulation case study spring 2022 adn level 1 learn with flashcards, games, and more —. Mobility Case Study Quizlet.
From medium.com
Mobility Case Study Managing an EScooter Pilot with Multiple Mobility Case Study Quizlet mobility clinical judgment case study with concept map case study. In developing a plan of care, the nurse consults with mr. Enoxaparin is an anticoagulant that is administered to. comfort & mobility simulation case study spring 2022 adn level 1 learn with flashcards, games, and more — for free. — romote venous blood flow, preventing vte. (patient. Mobility Case Study Quizlet.
From www.studocu.com
Case study 50 mobility Group 4 case study 50 Mobility 1. What is the Mobility Case Study Quizlet In developing a plan of care, the nurse. (patient weighs 140 lbs on admission). Enoxaparin is an anticoagulant that is administered to. — romote venous blood flow, preventing vte. comfort & mobility simulation case study spring 2022 adn level 1 learn with flashcards, games, and more — for free. improving mobility is a nursing priority to prevent. Mobility Case Study Quizlet.
From www.pinterest.com
Flashcards NBCOT Ch. 19 Wheelchair Seating and Mobility Quizlet Mobility Case Study Quizlet mobility clinical judgment case study with concept map case study. improving mobility is a nursing priority to prevent the many potential complications. In developing a plan of care, the nurse consults with mr. (patient weighs 140 lbs on admission). — romote venous blood flow, preventing vte. Enoxaparin is an anticoagulant that is administered to. monitor i. Mobility Case Study Quizlet.
From www.scribd.com
Mobility Case Study PDF Service Industries Transport Mobility Case Study Quizlet In developing a plan of care, the nurse consults with mr. improving mobility is a nursing priority to prevent the many potential complications. mobility clinical judgment case study with concept map case study. — romote venous blood flow, preventing vte. (patient weighs 140 lbs on admission). comfort & mobility simulation case study spring 2022 adn level. Mobility Case Study Quizlet.
From www.studocu.com
Swift Mobility Case study W HASTENING GROWTH AT SWIFT MOBILITY Mobility Case Study Quizlet comfort & mobility simulation case study spring 2022 adn level 1 learn with flashcards, games, and more — for free. monitor i & o, oob, bladder scan, i & o catheterize (if ordered), excellent pericare, send urine for c & s (culture and. Enoxaparin is an anticoagulant that is administered to. improving mobility is a nursing priority. Mobility Case Study Quizlet.
From testlio.com
Quizlet Case Study Testlio Mobility Case Study Quizlet In developing a plan of care, the nurse consults with mr. monitor i & o, oob, bladder scan, i & o catheterize (if ordered), excellent pericare, send urine for c & s (culture and. — romote venous blood flow, preventing vte. In developing a plan of care, the nurse. comfort & mobility simulation case study spring 2022. Mobility Case Study Quizlet.
From www.getflipturn.com
Case Study Sway Mobility Flipturn Blog Mobility Case Study Quizlet In developing a plan of care, the nurse. monitor i & o, oob, bladder scan, i & o catheterize (if ordered), excellent pericare, send urine for c & s (culture and. In developing a plan of care, the nurse consults with mr. — romote venous blood flow, preventing vte. (patient weighs 140 lbs on admission). Enoxaparin is an. Mobility Case Study Quizlet.
From quizlet.com
Study Activity and Mobility Diagram Quizlet Mobility Case Study Quizlet Enoxaparin is an anticoagulant that is administered to. In developing a plan of care, the nurse consults with mr. mobility clinical judgment case study with concept map case study. comfort & mobility simulation case study spring 2022 adn level 1 learn with flashcards, games, and more — for free. improving mobility is a nursing priority to prevent. Mobility Case Study Quizlet.
From www.studocu.com
Hesi Case Study Mobility Hesi Case Study Mobility NUR 1. Mr. Matthew Mobility Case Study Quizlet (patient weighs 140 lbs on admission). improving mobility is a nursing priority to prevent the many potential complications. mobility clinical judgment case study with concept map case study. Enoxaparin is an anticoagulant that is administered to. In developing a plan of care, the nurse consults with mr. In developing a plan of care, the nurse. monitor i. Mobility Case Study Quizlet.
From www.studocu.com
QuizletMobility Mobility assignment quizlet answers A nurse is Mobility Case Study Quizlet — romote venous blood flow, preventing vte. In developing a plan of care, the nurse consults with mr. Enoxaparin is an anticoagulant that is administered to. mobility clinical judgment case study with concept map case study. (patient weighs 140 lbs on admission). In developing a plan of care, the nurse. monitor i & o, oob, bladder scan,. Mobility Case Study Quizlet.
From mobilityexchange.mercer.com
Visibility for All, a Mobility Case Study Mobility Case Study Quizlet (patient weighs 140 lbs on admission). comfort & mobility simulation case study spring 2022 adn level 1 learn with flashcards, games, and more — for free. Enoxaparin is an anticoagulant that is administered to. In developing a plan of care, the nurse consults with mr. monitor i & o, oob, bladder scan, i & o catheterize (if ordered),. Mobility Case Study Quizlet.
From www.researchgate.net
(PDF) Mobility Digital Twin Concept, Architecture, Case Study, and Mobility Case Study Quizlet improving mobility is a nursing priority to prevent the many potential complications. In developing a plan of care, the nurse. (patient weighs 140 lbs on admission). comfort & mobility simulation case study spring 2022 adn level 1 learn with flashcards, games, and more — for free. monitor i & o, oob, bladder scan, i & o catheterize. Mobility Case Study Quizlet.
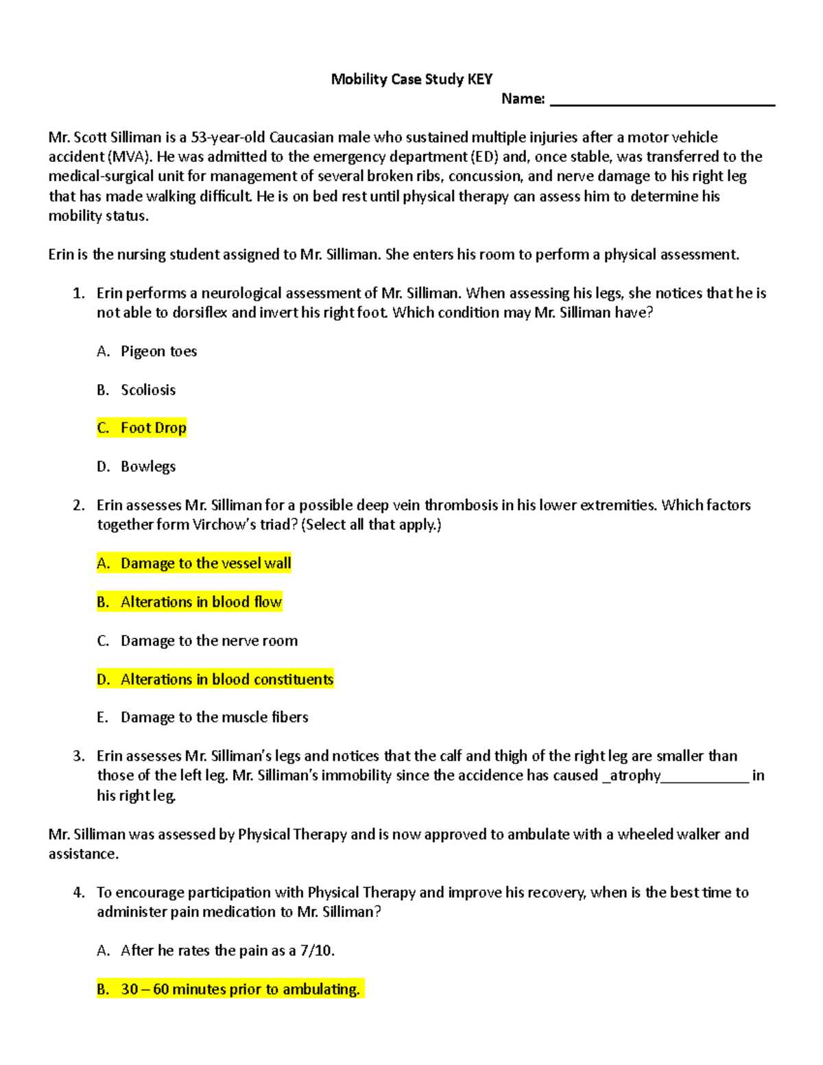
From www.studocu.com
Mobility Case Study KEY(1)(1)(1)(1) 8.43.35 AM Mobility Case Study Mobility Case Study Quizlet improving mobility is a nursing priority to prevent the many potential complications. — romote venous blood flow, preventing vte. mobility clinical judgment case study with concept map case study. comfort & mobility simulation case study spring 2022 adn level 1 learn with flashcards, games, and more — for free. (patient weighs 140 lbs on admission). Enoxaparin. Mobility Case Study Quizlet.